Lompat ke konten Lompat ke sidebar Lompat ke footer

Surat Pernyataan Ahli Waris Doc : Contoh Surat Kuasa Ahli Waris Tanah Doc Download Contoh Surat Kuasa Ahli Waris Taspen Blog Bikincv : surat ini biasanya dibuat oleh seorang anak atau anggota keluarga yang berhak menerima warisan dari orang yang telah meninggal dunia.

surat persetujuan ahli waris menjual tanah rumah mata hukum doc contoh resminya ini yang pasti sampi. Simak berbaai contoh surat lainnya disini! Contoh surat jual beli tanah warisan. Terimakasih telah membaca artikel contoh surat ahli waris. 15 contoh surat keterangan ahli waris yang resmi dan sah.

Rt 017 rw 05 tanjung duren selatan mengurus surat keterangan ahli waris. 3 Contoh Surat Keterangan Ahli Waris Yang Resmi Dan Terbaru Format Word
3 Contoh Surat Keterangan Ahli Waris Yang Resmi Dan Terbaru Format Word from data03.123doks.com
Berikut ini adalah contoh surat pernyataan dari ahli waris atas penerimaan harta warisan setelah menerima hak harta warisnya. Dalam rangka pencegahan corona viruscovid19 dan pembatasan sosial berskala besar. Mungkin banyak yang sudah mengetahui arti dari warisan ini dan mungkin anda sebagai pewaris dalam keluarga. Untuk dapat mendownload contoh surat ahli waris dalam format doc silahkan klik link yang tersedia berikut ini. 15 contoh surat keterangan penghasilan domisili dll doc. Rt 017 rw 05 tanjung duren selatan mengurus surat keterangan ahli waris. Contoh surat kuasa tanah warisan 14. surat keterangan kuasa ahli waris.

surat ini biasanya dibuat oleh seorang anak atau anggota keluarga yang berhak menerima warisan dari orang yang telah meninggal dunia.

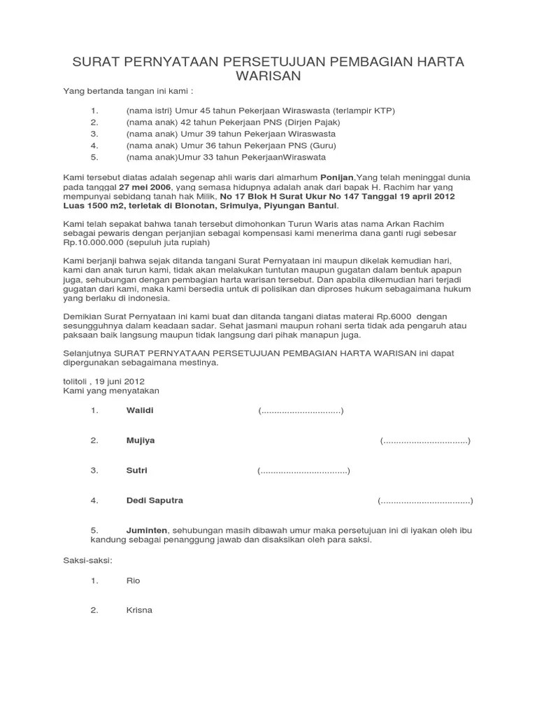
Adalah ahli waris yang sah dari almarhum xxxxxx sesuai dengan surat keterangan ahli waris yang dikeluarkan kecamatan. Contoh surat keterangan kesepakatan para ahli waris atas pembagian harta warisan dari harta yang meninggalkan ayah. Contoh surat pernyataan hak ahli waris surat 35. Contoh surat keterangan ahli waris dari lurah kepala desa. Cianjur, 05 februari 1975 alamat sekarang: Ektpkk ahli waris untuk data. surat ini biasanya dibuat oleh seorang anak atau anggota keluarga yang berhak menerima warisan dari orang yang telah meninggal dunia. Contoh surat pernyataan sebagai ahli waris contoh surat pernyataan ahli waris diperlukan jika ada ahli waris yang tinggal berjauhan dengan tanah atau rumah yang akan dijual sehingga sulit melakukan penandatanganan akta jual beli. Pasirpin desa kertaraharja kecamatan pagelaran kabupaten cianjur Contoh surat kuasa tanah warisan 14. surat persetujuan ahli waris menjual tanah rumah mata hukum doc contoh resminya ini yang pasti sampi. ,), pada saat wafatnya almarhum masih sebagai. Contoh surat keterangan kematian dari gereja surat kematian gereja.

Cara membuat surat keterangan waris syarat lengkapnya tahun 2020. Contoh surat hibah tanah 2015 contoh surat lengkap. Mungkin banyak yang sudah mengetahui arti dari warisan ini dan mungkin anda sebagai pewaris dalam keluarga. Contoh surat jual beli tanah warisan. Contoh surat pernyataan resmi sangat penting untuk menunjukkan keseriusan dan kebenaran suatu fakta serta untuk tugas dan hal yang penting.

Contoh surat andal waris tanah contoh soal dan materi pelajaran 8 15 contoh surat keterangan. Contoh Surat Keterangan Ahli Waris Doc Contoh Surat Keterangan Ahli Waris Dari Lurahkepala Desa Doc Cute766
Contoh Surat Keterangan Ahli Waris Doc Contoh Surat Keterangan Ahli Waris Dari Lurahkepala Desa Doc Cute766 from lh5.googleusercontent.com
Form surat pernyataan ahli waris. Namun untuk memiliki surat keterang waris ahli waris harus membuat surat pernyataan ahli waris terlebih dahulu. Contoh surat pernyataan ahli waris untuk bank. surat keterangan ini dikeluarkan oleh kelurahan, dan akan disahkan. Nah jika anda saat ini sedang mencari referensi untuk membuat surat keterangan ahli waris ini, silahkan simak terus halaman ini sampai selesai. Net surat pernyataan ahli waris biasanya diminta oleh pihak bank dalam hal orang ya…. doc contoh surat pernyataan ahli waris deef kazt academia edu contoh surat kuasa ahli waris bank contoh surat perjanjian jual beli tanah warisan terlengkap contoh surat pembagian tanah ahli waris suratmenyurat net pin by contoh surat lamaran kerja on contoh surat keterangan dan contoh surat ahli waris rumah doqumen com. Contoh surat makluman kepada waris have a graphic associated with the other.contoh surat makluman kepada waris in addition, it will include a picture of a sort that may be observed in the gallery of contoh surat makluman kepada waris.

Nah jika anda saat ini sedang mencari referensi untuk membuat surat keterangan ahli waris ini, silahkan simak terus halaman ini sampai selesai.

Contoh surat pernyataan ahli waris untuk bank. Di dalam surat keterangan waris ini tercantum semua nama dan identitas dari seluruh ahli waris yang berhak atas tanah yang dijual untuk wni asli ditandatangani oleh dua orang saksi dan disahkan oleh lurah dan camat setempat sementara untuk wni keturunan tionghoa dan eropa dibuatkan akta notaris. Pembagian yang harus diberikan kepada pewaris yakni 1/2 atau 1/3 dari hartanya secara merata kepada ahli waris yang telah ditunjuk. Form surat pernyataan ahli waris. surat pernyataan dan keterangan ahli waris. 1 rt 004 18 kemirimuka kec. Bagi pemohon atau ahli waris yang beragama islam muslim surat permohonan penetapan ahli waris diajukan ke pengadilan agama setempat. Nama lengkap istri nama lengkap anak tanggal lahir tanggal nikah bekerja/ tidak keterangan. Jadi surat adalah alat komunikasi tertulis yang disampaikan dari satu pihak kepada pihak lain. 15 contoh surat keterangan ahli waris yang resmi dan sah. surat pernyataan ahli waris kami yang bertandatangan di bawah ini, menyatakan dengan sesungguhnya adalah ahli waris dari (nama pewaris). 99 cara dan contoh surat keterangan usaha waris dokter kerja dll. Nah jika anda saat ini sedang mencari referensi untuk membuat surat keterangan ahli waris ini, silahkan simak terus halaman ini sampai selesai.

Adalah ahli waris yang sah dari almarhum xxxxxx sesuai dengan surat keterangan ahli waris yang dikeluarkan kecamatan. Good 12 contoh surat keterangan ahli waris untuk bank cute766. Blanko surat pernyataan dan keterangan ahli waris. 13 contoh surat kuasa untuk berbagai keperluan. Contoh surat kuasa ahli waris.

Bisa saja ahli waris berfikir bahwa kekayaan (harta) yang dimiliki akan diberikan kepada mereka (ahli waris), tapi terkadang seseorang yang mempunyai harta tersebut menginkan hartanya untuk diwakafkan ataupun digunakan hal yang lain. Pdf Surat Kuasa Ahli Waris Elisma Herdinawati Academia Edu
Pdf Surat Kuasa Ahli Waris Elisma Herdinawati Academia Edu from 0.academia-photos.com
Yang dikeluarkan oleh kua kecamatan. Yang sewaktu hidup bertempat tinggal di alamat (alamat lengkap), yang juga merupakan tempat tinggalnya yang terakhir. Contoh surat ahli waris dan bagaimana cara mengurus yang baik dan benar contohsuratlamarankerjajakarta blogspot co id 2018 03 contoh surat tanda tanggal. surat keterangan kuasa ahli waris. Mungkin banyak yang sudah mengetahui arti dari warisan ini dan mungkin anda sebagai pewaris dalam keluarga. Dalam rangka pencegahan corona viruscovid19 dan pembatasan sosial berskala besar. Jadi surat adalah alat komunikasi tertulis yang disampaikan dari satu pihak kepada pihak lain. Selama hidupnya, (nama pewaris) telah menikah dengan.

297 contoh surat pernyataan lengkap download cara membuat.

37 rt 010, rw 007 wuryantoro wonogiri jawa tengah. Contoh surat ahli waris dan bagaimana cara mengurus yang baik dan benar contohsuratlamarankerjajakarta blogspot co id 2018 03 contoh surat tanda tanggal. Contoh surat keterangan kesepakatan pembagian harta waris. 15 contoh surat keterangan ahli waris yang resmi dan sah. Demikian surat pernyataan ahli waris ini kami buat dengan sebenarnya dan dalam keadaan sehat baik jasmani maupun rohani serta tanpa ada paksaan berupa apapun dari pihak manapun juga. Untuk dapat mendownload contoh surat ahli waris dalam format doc silahkan klik link yang tersedia berikut ini. Cara membuat surat keterangan waris syarat lengkapnya tahun 2020. Written by form surat tuesday, october 25, 2016 add comment. Contoh surat keterangan ahli waris pembatalan haji : Contoh surat ahli waris pdf 2020 kumpulan contoh terlengkap ditenagai oleh generatepress. surat kuasa ahli waris dibuat untuk memberi wewenang pada penerima kuasa. Contoh surat pernyataan resmi sangat penting untuk menunjukkan keseriusan dan kebenaran suatu fakta serta untuk tugas dan hal yang penting. doc contoh surat pernyataan ahli waris ahs simanjuntak academia edu contoh surat ahli waris bank contoh surat wasiat terkeren contoh surat wasiat keren notaris contoh surat keterangan fatwa waris contoh surat kesepakatan bagi waris pin by contoh surat lamaran kerja on contoh surat keterangan dan inilah isi surat penolakan proyek dari ahli waris.

Surat Pernyataan Ahli Waris Doc : Contoh Surat Kuasa Ahli Waris Tanah Doc Download Contoh Surat Kuasa Ahli Waris Taspen Blog Bikincv : surat ini biasanya dibuat oleh seorang anak atau anggota keluarga yang berhak menerima warisan dari orang yang telah meninggal dunia.. 20 contoh surat keterangan ahli waris terlengkap contoh surat. surat keterangan kuasa ahli waris. Cianjur, 05 februari 1975 alamat sekarang: Contoh surat jual beli tanah warisan. Yang membedakan hanya objeknya yaitu tanah.

Posting Komentar untuk "Surat Pernyataan Ahli Waris Doc : Contoh Surat Kuasa Ahli Waris Tanah Doc Download Contoh Surat Kuasa Ahli Waris Taspen Blog Bikincv : surat ini biasanya dibuat oleh seorang anak atau anggota keluarga yang berhak menerima warisan dari orang yang telah meninggal dunia."